我的位置:力学测试 > 预约详情
热模拟试验机(Gleeble)
满意度:99%
仪器型号gleeble3000
预约次数0次
服务周期2.0-5.0个工作日
测试须知
1. 压缩样品要求:推荐φ8mm*12mm圆柱试样。(建议高度为直径的1.5~2倍)
2. 拉伸样品要求:M6或M10的棒材(螺纹段长度15mm,总长110mm);厚度小于2mm的板材;
3. 建议采用机加工方式准备样品,需准备2-3个备用样品
4. 测试温度范围:室温-1200℃。
展开全部 ∨
收起 ∧
项目介绍
热模拟试验是动态热形模拟试验设备。它可以动态地模拟金属受热及变形过程。热模拟试验的模拟功能较为齐全,应用范围广泛:可以进行包括轧制锻压工艺、连铸冶炼工艺、焊接工艺、金属热处理工艺、机械热疲劳等方面内容在内的动态过程模拟试验,可以测定金属高温力学性能、金属热物性及CCT曲线、应力应变曲线等。
样品要求
1. 压缩样品要求:推荐φ8mm*12mm圆柱试样。(建议高度为直径的1.5~2倍)
2. 拉伸样品要求:M6或M10的棒材(螺纹段长度15mm,总长110mm);厚度小于2mm的板材;
3. 建议采用机加工方式准备样品,需准备2-3个备用样品;
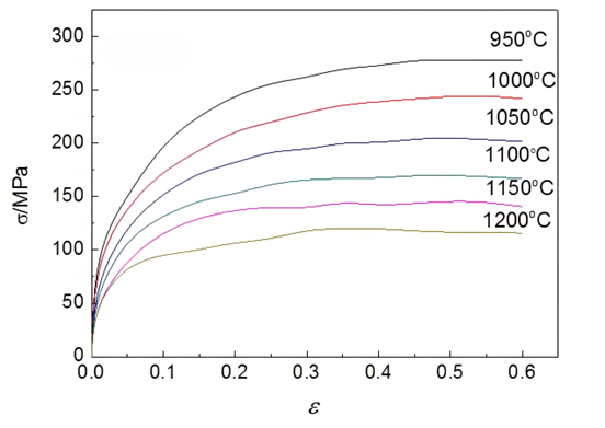
结果展示
常见问题
1. Gleeble不同测试模式可以获得哪些信息?
高温拉伸:通过Gleeble高温拉伸试验,可得知材料的高温力学性能,如不同成分钢种的塑性温度区间,不同温度下材料的抗拉强度、屈服强度,以及其零强度与零塑性温度,热塑性与温度、热历程、冷却速率、应变速率等的关系。 高温压缩:除确定应力-应变关系之外,还广泛地应用于轧制的模拟,模拟后试样的组织结构可以通过水冷方式保留,以便进行微观分析。此外,变形过程中动态转变的机理,如再结晶及析出等,均可进行研究。
2. 热电偶的放置方式是什么?
导电较好的样品,则焊接在样品中心轴线上居中的位置;导电不好的样品,则在样品的中心轴线居中的位置打一个φ0.5*1-2mm的孔,安装热电偶;
咨询热线
18700919747